Majsen har brug for varme - og det får den

Udgivet d. 20-07-2022

Majsen har den seneste uge haft god vækst, som har været og stadig er tiltrængt.

Der er fuld knald på den danske sommer, og det er noget majsmarkerne kan li.

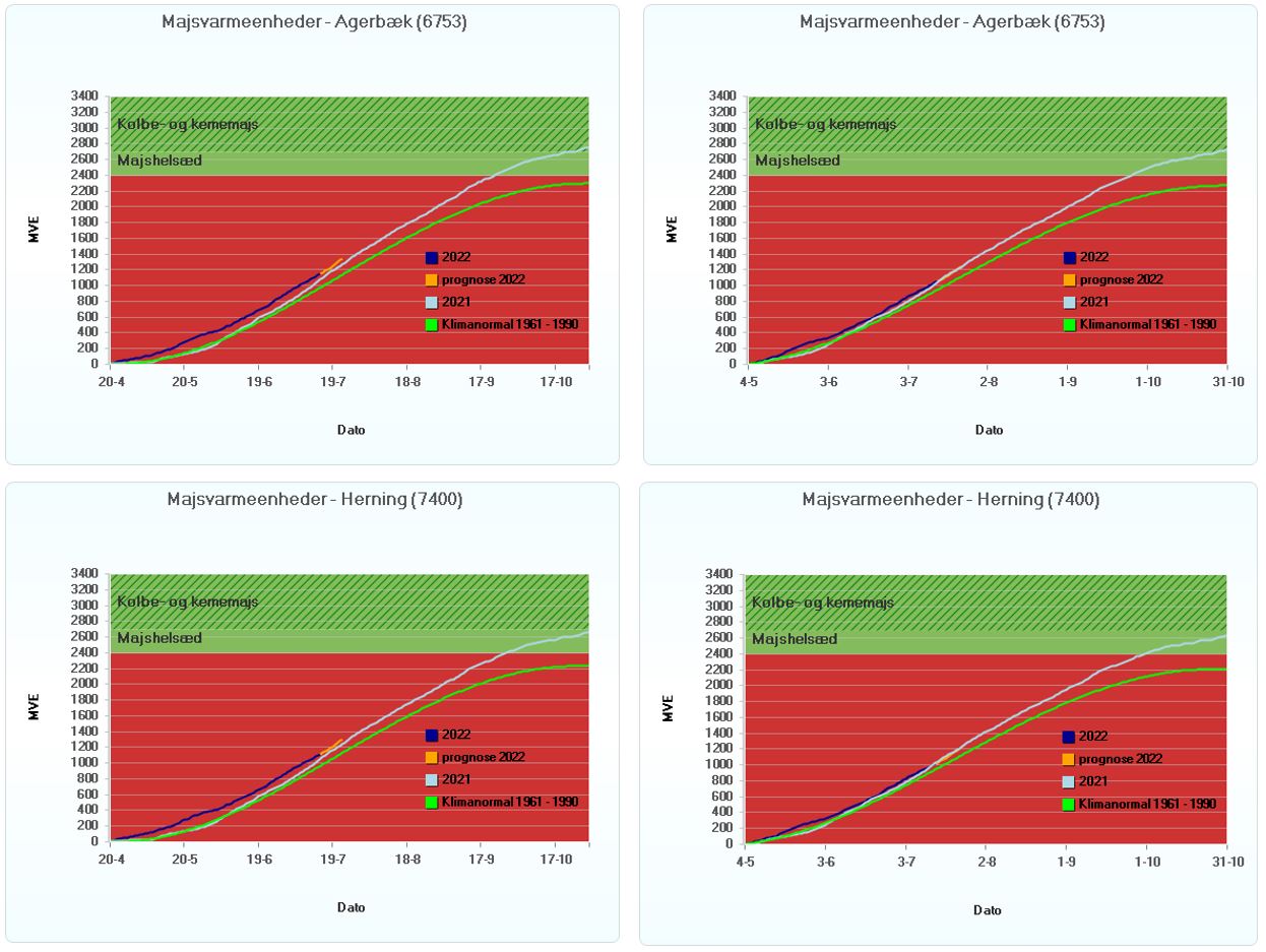
- Majsen har den seneste uge haft god vækst, hvilket har været tiltrængt. Selvom dette forår var bedre end sidste års våde og kolde omgang, har sensået majs kun opnået samme niveau af majsvarmeheder, som majs sået på samme tidspunkt sidste år, siger Vivi Ernstsen, der er planterådgiver hos SAGRO. 

Hun oplyser dog også, at tidligt sået majs har opnået flere majsvarmeenheder end på samme tidspunkt sidste år.

- Den kommende tid har majsen behov for varme, så den kan opnå god vækst inden sommervejret begynder at stilne af, siger hun.

Enklelte majshalvmøl

Fra registreringsnettet for fangster af majshalvmøl er der i uge 28 blevet optalt mellem 0-4 majshalvmøl i SAGRO’s område. Det er en lille udvikling fra uge 27, hvor der blev fanget 0 i fem ud af seks fælder i SAGRO’s område.

Registreringsnettet for bladsvampe er opstartet i uge 28. Ud af 20 marker er der fundet majsøjeplet i to marker med meget svage/begyndende angreb. Registreringsnettet forløber med ugentlige registreringer indtil midt/ultimo august.

 

Majsvarmeenheder (MVE) for majs i Agerbæk og Herning, sået 20. april henholdsvis 4. maj.

Kontakt os

Få et godt råd fra en rådgiver

Vivi Ernstsen Vivi Ernstsen Planterådgiver 76 60 21 95 40 91 31 01


Tilmelding til nyhedsbrev


Indlæs flere relaterede artikler

Samarbejdspartnere